追随牛顿竟然让英国数学百年停滞?
想象一下,如果今天全世界的数学家都在用“ẋ”表示导数,而“dy/dx”只是某个小众圈子的黑话——这差点就是我们的现实。

点与d的战争:
牛顿和莱布尼茨如何用符号改变世界
想象一下,如果今天全世界的数学家都在用“ẋ”表示导数,而“dy/dx”只是某个小众圈子的黑话——这差点就是我们的现实。三百多年前,两位科学巨人几乎同时叩开了微积分的大门,却开启了一场跨越世纪的符号战争。今天,当我们轻松写下∫和dx时,很少想到这些简洁符号背后,藏着怎样的人性博弈与历史选择。
Part.1
一、瘟疫中的秘密:牛顿的“流数术”


艾萨克·牛顿
1665年,伦敦鼠疫肆虐,剑桥大学被迫关闭。23岁的艾萨克·牛顿回到林肯郡的伍尔索普庄园,开始了后来被称为“奇迹年”的孤独研究。
作为物理学家,牛顿的思考始终围绕着运动。苹果为何落地?行星如何绕日?他意识到,要描述这些连续变化,需要一套全新的数学工具。于是,“流数术”诞生了。
牛顿把随时间变化的量称为“流量”(fluent),如位移x;把变化率称为“流数”(fluxion),如速度。他在字母上方加一个点来表示流数:速度是ẋ,加速度是ẍ。
这套符号极其简洁,但有一个默认前提:自变量是时间t。ẋ天然就是dx/dt。牛顿用它推导出行星轨道、万有引力,写进了划时代的《自然哲学的数学原理》(1687年)。
然而,牛顿有个致命习惯:他把手稿锁进抽屉,只在朋友间传阅,迟迟不公开发表。这一锁,就是二十年。

巴黎雨夜的灵感:莱布尼茨的符号革命
几乎同一时间,在巴黎,另一位天才正从完全不同的角度接近同一真理。
戈特弗里德·威廉·莱布尼茨本是外交官兼哲学家,在数学家惠更斯指导下,痴迷于曲线的切线问题。1675年一个雨夜,他在手稿边缘写下:“用∫表示‘和’(拉丁文summa)将是有用的。”拉长的S成为积分符号,dx表示微分。
与牛顿的物理直觉不同,莱布尼茨是符号大师。他认为:“要发明,就要挑选恰当的符号……最大限度地减少人的思维劳动。”他设计的不是个人表达,而是一套可拆解、复现的运算体系:

戈特弗里德·威廉·莱布尼茨
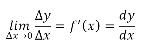
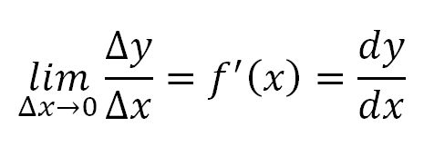
• dy/dx表示导数,像分数一样直观
• ∫表示连续求和
• 还有商“a/b”、比“a:b”、相似“∽”等符号
1684年,莱布尼茨发表《求最大值与最小值的新方法》,这是人类第一篇公开的微积分论文。三年后,牛顿的《原理》才出版。
加密信与权力审判:优先权之争白热化
冲突的种子就此埋下。牛顿认为自己更早发现核心思想,莱布尼茨则强调独立发明与首发权。
1676年,牛顿给莱布尼茨回信时,玩了一个文字游戏。他把关键结论变成乱序拉丁字母:“6accdae13eff7i3l9n4o4qrr4s8t12ux”——这是一种“易位构词”,相当于在不公开细节的情况下“占坑”。解开后的意思是:“由任一含流量之方程,求其流数;反之亦然。”
这封加密信在三十年后成了牛顿的“王牌证据”。他认定莱布尼茨从中“借鉴”了思路。
1710年,争论公开化。牛顿的支持者指控莱布尼茨“只是改换了牛顿发现的名称和符号”。莱布尼茨要求英国皇家学会调查,却不知自己已陷入陷阱——牛顿当时正是皇家学会主席。
1712年,由牛顿亲自选定成员的调查委员会发布报告,认定牛顿是“第一发明者”,莱布尼茨“涉嫌剽窃”。更具讽刺意味的是,这份报告的核心草稿,字迹全部出自牛顿本人。在这场科学史上最著名的裁决中,牛顿既是原告,又是法官,还是判决书的匿名作者。

莱布尼茨手稿
符号的较量:为什么“d”战胜了“点”
表面上是优先权之争,实质是两种思维方式的对抗。
牛顿的点符号(ẋ, ẍ):
• 优势:极简,物理图像直观(直接对应速度、加速度)
• 局限:默认自变量是时间,处理多元函数时笨拙;高阶导数(三阶以上)几乎无法清晰表达
莱布尼茨的d符号(dy/dx, ∫):
• 优势:自我解释性强(dy/dx像分数,∫像拉长的S表示求和);链式法则等运算直观如代数操作;天然适合多元函数、偏导数
• 局限:早期“无穷小量”概念模糊,遭贝克莱主教嘲讽为“消失量的鬼魂”
更关键的是传播效率。牛顿符号像“个人方言”,只有天才才能流畅使用;莱布尼茨符号是“通用语言”,普通人通过学习规则就能掌握。在17世纪的印刷术中,点符号常印成模糊的“苍蝇屎”,而d和∫清晰易辨。

百年停滞:英国数学付出的代价
这场争论撕裂了欧洲数学共同体。英国学者固守牛顿流数术,欧洲大陆全面采用莱布尼茨符号。
结果令人扼腕:
• 欧洲大陆在伯努利、欧拉、拉格朗日推动下,将微积分发展为系统性的“分析学”,解决了最速降线、变分法等前沿问题
• 英国数学因符号壁垒,学生无法阅读大陆文献,剑桥考试直到1750年仍禁止使用dy/dx
• 18世纪,欧洲大陆发表的微积分论文是英国的5倍;英国直到19世纪初才重新融入国际主流
牛顿赢得了官司,却让英国数学输掉了未来。最具历史讽刺的是:今天全球使用的微积分符号,全盘皆是莱布尼茨版本。
历史的公正:当公式冠以两人之名
时间最终给出了公正评判。现代科学史研究证实:牛顿与莱布尼茨是各自独立发明微积分的。
牛顿更早形成核心思想(1665-1666年),莱布尼茨更早公开发表(1684年)。牛顿从物理运动出发,创造了思想内核;莱布尼茨从几何符号切入,构建了表达体系。

牛顿—莱布尼茨公式
今天,微积分最核心的定理被命名为“牛顿-莱布尼茨公式”。这不是和稀泥的妥协,而是对历史真相的承认:微分与积分的互逆关系,是两人共同发现的微积分灵魂。
结语:符号如何塑造科学