新生儿耳聋基因筛查,到底是不是智商税?

保护听力应该是一件持续终生的事。

我们常说,中国地大物博、人口众多。人多,受到的关注自然有别。今天,我们就来聊聊失聪人群,以及新生儿耳聋基因筛查。

耳聋有哪些原因?

先将耳朵想象成耳机。不管哪一种耳机,其实都由两部分组成:一部分负责接收信号,比如线缆,另一部分藏在耳机头里,负责将信号转化为我们能理解的内容。

对于人体来说,以耳蜗为界限,耳蜗外侧的部分,耳廓、外耳道、鼓膜等,相当于耳机线,有着传导声音的作用;耳蜗则比较特别,可以将声音转化为神经能识别的信号,加上其上连接着的神经、脑内的听觉中枢,组成了类似耳机头的结构。

耳的模式图,涂色部分为耳蜗,图片来源:medel.com

现在再来想想,你的耳机都是怎么坏掉的。有时是线缆问题,有时候是耳机头坏了,还有时候,它俩都不工作,对不对?

相应的,耳聋分为三种:如果是传导系统的问题,称之为传导性耳聋,如果是耳蜗、神经的问题,称之为感音神经性耳聋;还有一种是混合型的,患者的传导系统和耳蜗、神经都存在病变。

至于怎么判断耳聋的程度,有一个概念叫“听阈”,就是听力的阈值,听清内容所需要的最小音量。

根据世界卫生组织的标准,三到五米外的谈话听不清(听阈26~40分贝),属于轻度聋;一米以内都听不清(听阈26~40分贝),属于中度聋;有些老人,只有在其耳旁大声说话(听阈61~80分贝),他才能听见,属于重度聋;比重度聋还厉害的,即使声音非常响亮,也可能听不清,称之为极重度聋。

那么,耳聋是由什么原因引起的呢?有些是环境因素引起的,比如早产、感染,另一些则跟遗传有关。

耳聋是怎么遗传的?

跟耳聋有关的基因,已经发现了一百多个。其中,最常见的有两类,一类是常染色隐性遗传,一类是线粒体遗传。

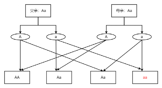
如果将细胞核比做一个家庭,常染色体相当于婚后资产,一半来自于父亲,一半来自于母亲;而所谓的“隐性遗传”,就是说,它得成对出现,才能表现出特定的效果。

常染色体隐性遗传模式,图片来源:作者自制

拿GJB2基因来说,它负责生产和调控缝隙连接蛋白;后者,广泛存在于耳蜗细胞表面,在细胞和细胞之间构成小小的通道,对于维持耳蜗的功能,有着重要作用。

沿用耳机那个例子的话,缝隙连接蛋白相当于耳机头电路板上的连接点,没有它们,就没有电流,耳机也自然不能正常工作。

大部分耳机,买的时候一切正常,用了一阵子却坏掉了。GJB2基因也有这种特点:携带两个GJB2基因突变的人,有的生下来就听不见东西,进而错过学习语言的黄金时期,变得不仅聋、而且哑;大概4%的患者,生下来的时候听力正常,却随着年龄的增加,出现了听力损失。

另一种常见的耳聋基因,12SrRNA,存在于线粒体里。好多电视剧里,会出现“传女不传男”的物件,“这个手镯,是我妈给我的,现在你要嫁人了,我把它传给你”——线粒体的遗传正是遵从这种规律。

线粒体遗传模式,图片来源:作者自制

在细胞内部,线粒体差不多是最繁忙的细胞器。平常,它要为细胞提供能量、帮细胞存储东西,生病的时候,它会跟药物互动——假如线粒体存在缺陷,很有可能对某些药物过分敏感。比如说,带有12SrRNA基因的人,在使用氨基糖苷类抗生素(链霉素、卡那霉素、庆大霉素等)之后,可能会出现听力损失。

新生儿耳聋基因筛查,有什么用?

说到这里,有些读者可能已经猜出新生儿耳聋基因筛查的作用了。

如果一对夫妻,都携带有GJB2基因突变,那么,他们有一定概率生下耳聋的孩子。运用基因筛查技术,筛选出不带GJB2基因突变的胚胎,就有可能让他们拥有听力正常的孩子。

有些新生儿,固然带有GJB2基因突变,却是迟发型,在常规听力筛查中一切正常。依靠基因筛查技术,我们可以把这部分人找出来,定期对他们进行听力检测,以便早发现、早干预。

有些新生儿,带有12SrRNA基因突变,生下来的时候一切正常、学说话的时候一切正常、上学的时候一切正常,及至某次运用耳毒性药物之后,忽然失去了正常的听觉。对于这种情况,新生儿耳聋基因筛查可以第一时间发出预警,之后,只要用药小心、谨遵医嘱,就没什么好担心的。

有的朋友可能好奇,基因筛查是怎么做的?

其实,跟核酸检测差不多。先提取标本,可以以是口腔拭子、唾液,也可以是血液,接下来将标本送到检测机构,等结果就行了。结果有两种可能:通过,表示小孩不带有已知的热门突变;不通过,即带有已知的热门突变。

2020年,中国一共有1200万新生儿。其中,1‰~3‰存在先天性的听力缺陷。先天性听力缺陷,又有50%~60%跟遗传因素有关。假如六成患儿可以通过及时干预过上正常的生活,那么,保守估计,新生儿耳聋基因筛查每天可以拯救10个孩子。从这个角度说,它是一种功德无量的技术。

当然,还是要提醒一下:首先,如果打算进行耳聋基因筛查,一定要去正规机构;其次,耳聋相关的基因很多,不管哪个厂家的试剂盒,都只能兼顾其中几种,所以,通过,未必意味着可以放松警惕——保护听力,应该是一件持续终生的事。

如何保护听力,图片来源:作者自制

参考文献:

[1]田勇泉. 耳鼻咽喉头颈外科学(第8版)[M/OL]. 人民卫生出版社, 2020-11-21. 

[2]中国耳聋基因筛查与诊断临床多中心研究协作组, 全国防聋治聋技术指导组. 遗传性耳聋基因筛查规范[J]. 中华医学杂志, 2021, 101(02): 97-102.

[3]佚名. 中国是世界上听力残疾人数最多的国家[EB/OL]2021-09-19]. 

[4]SHEFFIELD AM, SMITH RJ. The epidemiology of deafness[J]. Cold Spring Harbor perspectives in medicine, 2019, 9(9): a033258.